3 ER-Modellierung
3.1 ER-Modellierung: Staedte
ER-Schema: Stadt

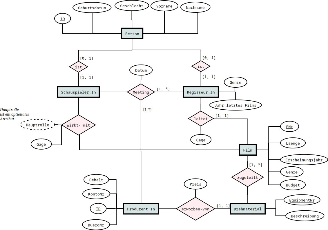
3.2 ER-Modellierung: Filmstudio-Datenbank
- ER-Schema Figure 3.1

- Integriteatsbedingungen
- i.A. koennen die Wertebereiche der Attribute im ER-Diagram nicht spezifiert werden, z.B. wie
- Erscheinungsjahr eines Films darf nicht in der Zukunft liegen oder ein sehr altes Datum wie 1776 sein.
- Gage eines Regissuers muss > 30,000 € sein
- Globale Bedingungen wie z.B. Gesamtgehalt aus mehreren Filmen darf nie ueber 1000000 € sein koennen auch nicht spezifiziert werden.
- In der Spezifikation heisst es, dass in jedem Film genau zwei Hauptrollen gibt. In unserem ER-Schema haben wir Hauptrolle als eine optionale Attribute des Beziehungstyps “wirkt-mit” modelliert. Diese Kardinalitaet kann somit nicht in unsrem ER-Schema bestimmt werden.
- i.A. koennen die Wertebereiche der Attribute im ER-Diagram nicht spezifiert werden, z.B. wie
- Alternative Modellierungen
- Gage als Attribute der Entitaet Film modellieren.
- Eine neue Entitaet “Genre” einfuehren, und “arbeitet-in” Beziehungen zwischen Regisseur-Genre, und zwischen Schauspieler-Genre modellieren:

3.3 Feedback
Punkte: 29.0/30